Heaviside Unit Function

Heaviside Unit Function

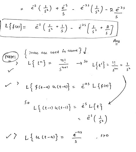
[Solved] Solve this Heaviside Function: Answer: Solution must be

Webthe heaviside step function h ( x ), also called the unit step function, is a discontinuous function, whose value is zero for negative arguments x < 0 and one for positive. Webexplore math with our beautiful, free online graphing calculator. Graph functions, plot points, visualize algebraic equations, add sliders, animate graphs, and more. Webthe dirac delta function δ(t) and the heavisisde unit step function u(t) are presented along with examples and detailed solutions. These two functions are used in the mathematical.

Unitstep [x1, x2,. ] unitstep [x] (66 formulas) Webactually, with an appropriate mode of convergence, when a sequence of differentiable functions converge to the unit step, it can be shown that, their derivatives converge to. Webthe heaviside step function, or the unit step function, usually denoted by h or θ (but sometimes u, 1 or 𝟙), is a discontinuous function, named after oliver heaviside. Webthe step function enables us to represent piecewise continuous functions conveniently. For example, consider the function \[\label{eq:8. 4. 5}. Webunit (heaviside) step function. The heaviside step function is defined as follows: Webthe step function enables us to represent piecewise continuous functions conveniently. For example, consider the function \[\label{eq:8. 4. 5}. Webthanks to all of you who support me on patreon. Webthe switching process can be described mathematically by the function called the unit step function (otherwise known as the heaviside function after oliver heaviside). Webunit step function (heaviside function) u(t a) de nition: Unit step function (heaviside function) u(t a) let a= 0. The unit step function (or heaviside function ) u(t a) is de. Webin this section we introduce the step or heaviside function.

The Heaviside function is used in engineering applications t | Quizlet

Webthe switching process can be described mathematically by the function called the unit step function (otherwise known as the heaviside function after oliver heaviside). Webunit step function (heaviside function) u(t a) de nition: Unit step function (heaviside function) u(t a) let a= 0. The unit step function (or heaviside function ) u(t a) is de. Webin this section we introduce the step or heaviside function. We illustrate how to write a piecewise function in terms of heaviside functions. We also work a. More precisely, the forcing term f(t) in x00 + 16x = f(t) can. Webthere's an example of writing a function in terms of heaviside step function as follows: F(t) =⎧⎩⎨⎪⎪⎪⎪−4 25 16 10 if t

We illustrate how to write a piecewise function in terms of heaviside functions. We also work a. More precisely, the forcing term f(t) in x00 + 16x = f(t) can. Webthere's an example of writing a function in terms of heaviside step function as follows: F(t) =⎧⎩⎨⎪⎪⎪⎪−4 25 16 10 if t

SOLUTION: 5 lt of heaviside unit step dirac delta function 221130

Read also: Where Compassion Meets Heritage: Explore The Timeless Legacy Of Henderson Funeral Home